It is with great pleasure that we present our numerical model, which we used to compete in the 3rd Blind Simulation Competition organised by the fib WP-2.4.1 committee, where team of JKP STATIC came 2nd place out of 26 submissions in the competition. The real tests were carried out in the laboratory of the University of Minho, Portugal.
For the modelling, we used the finite element program ATENA (Cervenka Consulting s.r.o.), the concrete material model was CEMII and the fibre effects were taken into account by the added fracture energy (www.fibrelab.eu).
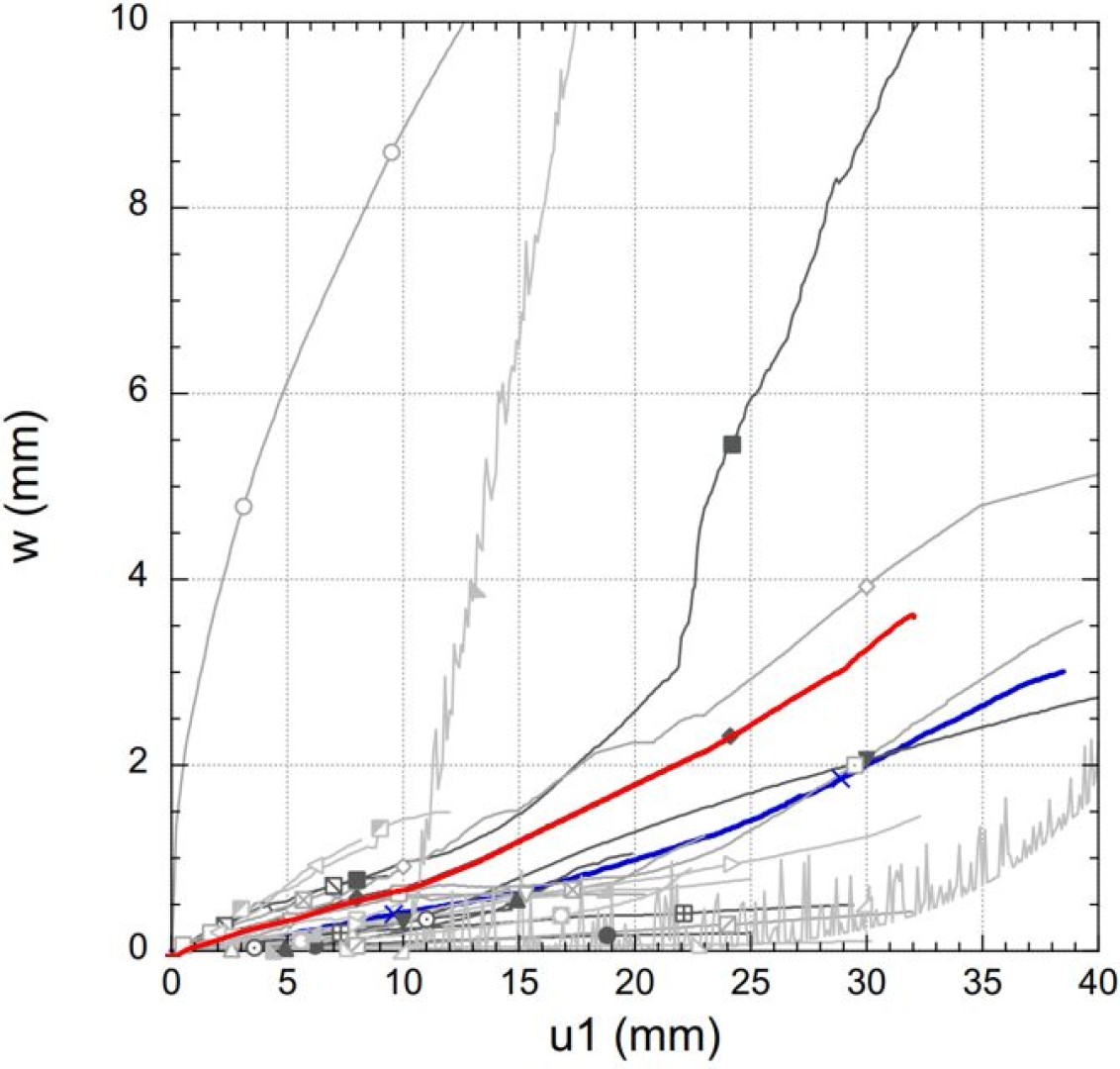
In the attached figures, the numerical results (red line) are compared with the real test results (blue line).
More informtion:
https://www.fib-international.org/news/491-fib-wp-2-4-1-3rd-blind-simulation-competition.html







